SEO视频教程
大杂烩
专注于网站推广优化,承接营销型网站建设,整站优化外包,AI人工智能优化咨询QQ:20167856
大杂烩 2022-04-04
添加微信:bmzkj01 免费交流解答,并送你一份最新运营推广方案
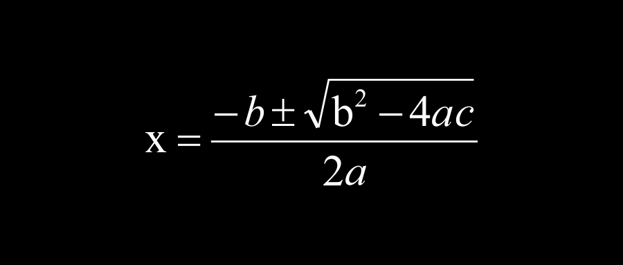
上一篇:一元二次函数解析式(一元二次函数的求根公式)
下一篇:三赎基督神国成就天堂(请问三赎基督到底是什么)
网络推广主要做些什么?
什么是网络推广?
网络推广的方式和途径有哪些
网络推广有哪些渠道
大宝SEO:原名张泽民,八年如一日因为专业所以专注!做网站优化八年,熟悉各种CMS,精通各种搜索引擎排名,深知产品推广套路。专注于营销型网站建设,整站优化外包、网络安全服务、关键词排名、黑帽/白帽SEO技术!承接网站SEO优化服务(QQ:20167856)只要你有推广运营安全需求、都可以找我。正规公司、资质齐全!
每天免费三个名额为大家提供诊断服务。 公众号:zmseo888(回复:爆粉,优化工具 免费领取)
你会喜欢
热门文章
SEO技术